ADC Payload

ADC Payload


ADC payload is a class of cytotoxic molecules that are conjugated to mAb (antibody) for oncology and other therapeutic treatment. The payload in the ADC conjugate will be released inside cells either through mechanisms of enzyme digestion, low pH, or reduction condition.

The payloads in clinically active ADCs are classified into four major classes:

  1. Tubulin Inhibitors - represented by Auristatin, Maytansine, and Tubulysin
  2. DNA damaging agents - represented by Calicheamicin, Duocarmycin, and IGN
  3. Topoisomerase (I & II) inhibitors - exemplified by SN-38, Exatecan, and DXd
  4. Immunomodulatory - exemplified by STING agonist, TLR8 agonist, and TLR9 agonist
  5. Catalog Product Name Structure M.W. Purity Pricing
    MMAE
    BP-22278MMAEMolecular structure of the compound: MMAE71895%Pricing
    BP-430773-benzoylacrylamide-N-MMAEMolecular structure of the compound: 3-benzoylacrylamide-N-MMAE876.298%Pricing
    BP-45165mDPR-Val-Cit-PAB-MMAE, TFA saltMolecular structure of the compound: mDPR-Val-Cit-PAB-MMAE, TFA salt1289.6Pricing
    BP-44951Fmoc-MMAEMolecular structure of the compound: Fmoc-MMAE940.2Pricing
    BP-44955MMAE-SMCCMolecular structure of the compound: MMAE-SMCC1140.5Pricing
    BP-44965PDS-MMAEMolecular structure of the compound: PDS-MMAE931.3Pricing
    BP-23465Val-Cit-PAB-MMAEMolecular structure of the compound: Val-Cit-PAB-MMAE1123.598%Pricing
    BP-44645Gly3-VC-PAB-MMAEMolecular structure of the compound: Gly3-VC-PAB-MMAE1294.6Pricing
    BP-42980mDPR-Val-Cit-PAB-MMAEMolecular structure of the compound: mDPR-Val-Cit-PAB-MMAE1289.6Pricing
    BP-23246Fmoc-Val-Cit-PAB-MMAEMolecular structure of the compound: Fmoc-Val-Cit-PAB-MMAE1345.798%Pricing
    BP-44670Fmoc-PEG4-Val-Cit-PAB-MMAEMolecular structure of the compound: Fmoc-PEG4-Val-Cit-PAB-MMAE159397%Pricing
    BP-44893OH-Glu-Val-Cit-PAB-MMAEMolecular structure of the compound: OH-Glu-Val-Cit-PAB-MMAE1237.698%Pricing
    BP-25502Acid-PEG4-Val-Cit-PAB-MMAEMolecular structure of the compound: Acid-PEG4-Val-Cit-PAB-MMAE1399.798%Pricing
    BP-44260Acid-PEG8-Val-Cit-PAB-MMAEMolecular structure of the compound: Acid-PEG8-Val-Cit-PAB-MMAE157698%Pricing
    BP-41145Acid-PEG12-Val-Cit-PAB-MMAEMolecular structure of the compound: Acid-PEG12-Val-Cit-PAB-MMAE1752.298%Pricing
    BP-28189Azido-PEG4-MMAEMolecular structure of the compound: Azido-PEG4-MMAE991.398%Pricing
    BP-43206Azide-PEG12-MMAEMolecular structure of the compound: Azide-PEG12-MMAE1343.798%Pricing
    BP-24431Azido-PEG4-Val-Cit-PAB-MMAEMolecular structure of the compound: Azido-PEG4-Val-Cit-PAB-MMAE1396.798%Pricing
    BP-40188Azide-PEG8-Val-Cit-PAB-MMAEMolecular structure of the compound: Azide-PEG8-Val-Cit-PAB-MMAE157398%Pricing
    BP-43298Azide-PEG12-Val-Cit-PAB-MMAEMolecular structure of the compound: Azide-PEG12-Val-Cit-PAB-MMAE1749.298%Pricing
    BP-44771Azido-PEG8-Amido-Val-Cit-PAB-MMAEMolecular structure of the compound: Azido-PEG8-Amido-Val-Cit-PAB-MMAE166098%Pricing
    BP-42905Azido-PEG12-Amido-Val-Cit-PAB-MMAEMolecular structure of the compound: Azido-PEG12-Amido-Val-Cit-PAB-MMAE1836.398%Pricing
    BP-44126N-(Azido-PEG3)-N-(PEG4-Val-Cit-PAB-MMAE)-N-(PEG3-acid)Molecular structure of the compound: N-(Azido-PEG3)-N-(PEG4-Val-Cit-PAB-MMAE)-N-(PEG3-acid)1892.3Pricing
    BP-41143N-(Azido-PEG4)-N-bis(PEG4-Val-Cit-PAB-MMAE)Molecular structure of the compound: N-(Azido-PEG4)-N-bis(PEG4-Val-Cit-PAB-MMAE)2969.7Pricing
    BP-42920Picolyl azide-PEG4-Val-Cit-PAB-MMAEMolecular structure of the compound: Picolyl azide-PEG4-Val-Cit-PAB-MMAE1531.995%Pricing
    BP-45355EEVC-MMAE carboxylic acidMolecular structure of the compound: EEVC-MMAE carboxylic acid159495%Pricing
    BP-45356Azido-PEG1-EEVC-MMAEMolecular structure of the compound: Azido-PEG1-EEVC-MMAE1594.995%Pricing
    BP-29016t-butyl ester-PEG4-Val-Cit-PAB-MMAEMolecular structure of the compound: t-butyl ester-PEG4-Val-Cit-PAB-MMAE1455.998%Pricing
    BP-44962Mal-Phe-C4-VC-PAB-MMAEMolecular structure of the compound: Mal-Phe-C4-VC-PAB-MMAE1364.7Pricing
    BP-28190Amino-PEG4-MMAEMolecular structure of the compound: Amino-PEG4-MMAE965.398%Pricing
    BP-43148Amine-PEG12-MMAEMolecular structure of the compound: Amine-PEG12-MMAE1317.798%Pricing
    BP-44973Aminocaproyl-Val-Cit-PABC-MMAEMolecular structure of the compound: Aminocaproyl-Val-Cit-PABC-MMAE1236.6Pricing
    BP-44975NH2-PEG3-VC-PAB-MMAEMolecular structure of the compound: NH2-PEG3-VC-PAB-MMAE1312.7Pricing
    BP-24414Amino-PEG4-Val-Cit-PAB-MMAEMolecular structure of the compound: Amino-PEG4-Val-Cit-PAB-MMAE1370.795%Pricing
    BP-40200Amine-PEG8-Val-Cit-PAB-MMAEMolecular structure of the compound: Amine-PEG8-Val-Cit-PAB-MMAE154798%Pricing
    BP-44963(Aminooxy)acetamide-Val-Cit-PAB-MMAEMolecular structure of the compound: (Aminooxy)acetamide-Val-Cit-PAB-MMAE1196.5Pricing
    BP-45146SuO-Val-Cit-PAB-MMAEMolecular structure of the compound: SuO-Val-Cit-PAB-MMAE1264.5Pricing
    BP-41657NHS ester-Val-Cit-PAB-MMAEMolecular structure of the compound: NHS ester-Val-Cit-PAB-MMAE1278.698%Pricing
    BP-44953SC-VC-PAB-MMAEMolecular structure of the compound: SC-VC-PAB-MMAE1348.7Pricing
    BP-25503NHS ester-PEG4-Val-Cit-PAB-MMAEMolecular structure of the compound: NHS ester-PEG4-Val-Cit-PAB-MMAE1496.890%Pricing
    BP-44263NHS ester-PEG8-Val-Cit-PAB-MMAEMolecular structure of the compound: NHS ester-PEG8-Val-Cit-PAB-MMAE167390%Pricing
    BP-41288NHS ester-PEG12-Val-Cit-PAB-MMAEMolecular structure of the compound: NHS ester-PEG12-Val-Cit-PAB-MMAE1849.297%Pricing
    BP-44952Acetylene-linker-Val-Cit-PABC-MMAEMolecular structure of the compound: Acetylene-linker-Val-Cit-PABC-MMAE1307.6Pricing
    BP-28801DBCO-PEG4-PAB-MMAEMolecular structure of the compound: DBCO-PEG4-PAB-MMAE1371.795%Pricing
    BP-44300DBCO-PEG8-PAB-MMAEMolecular structure of the compound: DBCO-PEG8-PAB-MMAE154895%Pricing
    BP-42732DBCO-PEG12-MMAEMolecular structure of the compound: DBCO-PEG12-MMAE160595%Pricing
    BP-28214DBCO-Val-Cit-PAB-MMAEMolecular structure of the compound: DBCO-Val-Cit-PAB-MMAE1410.895%Pricing
    BP-40529DBCO-PEG2-Val-Cit-PAB-MMAEMolecular structure of the compound: DBCO-PEG2-Val-Cit-PAB-MMAE157095%Pricing
    BP-44964DBCO-(PEG)3-VC-PAB-MMAEMolecular structure of the compound: DBCO-(PEG)3-VC-PAB-MMAE1614Pricing
    BP-25659DBCO-PEG4-Val-Cit-PAB-MMAEMolecular structure of the compound: DBCO-PEG4-Val-Cit-PAB-MMAE1658.198%Pricing
    BP-40446DBCO-PEG8-Val-Cit-PAB-MMAEMolecular structure of the compound: DBCO-PEG8-Val-Cit-PAB-MMAE1834.395%Pricing
    BP-43300DBCO-PEG12-Val-Cit-PAB-MMAEMolecular structure of the compound: DBCO-PEG12-Val-Cit-PAB-MMAE2010.598%Pricing
    BP-42896N-DBCO-N-bis(PEG8-Val-Cit-PAB-MMAE)Molecular structure of the compound: N-DBCO-N-bis(PEG8-Val-Cit-PAB-MMAE)3364.295%Pricing
    BP-28218N-DBCO-N-bis(PEG2-amide-PEG4-Val-cit-PAB-MMAE)Molecular structure of the compound: N-DBCO-N-bis(PEG2-amide-PEG4-Val-cit-PAB-MMAE)3330.298%Pricing
    BP-42718N-(DBCO-PEG4)-N-bis(PEG4-MMAE)Molecular structure of the compound: N-(DBCO-PEG4)-N-bis(PEG4-MMAE)2462.298%Pricing
    BP-44968DBCO-(PEG2-VC-PAB-MMAE)2Molecular structure of the compound: DBCO-(PEG2-VC-PAB-MMAE)22835.6Pricing
    BP-28192endo-BCN-Val-Cit-PAB-MMAEMolecular structure of the compound: endo-BCN-Val-Cit-PAB-MMAE1299.798%Pricing
    BP-40856endo-BCN-PEG2-Val-Cit-PAB-MMAEMolecular structure of the compound: endo-BCN-PEG2-Val-Cit-PAB-MMAE1458.998%Pricing
    BP-24415endo-BCN-PEG4-Val-Cit-PAB-MMAEMolecular structure of the compound: endo-BCN-PEG4-Val-Cit-PAB-MMAE154798%Pricing
    BP-40734endo-BCN-PEG8-Val-Cit-PAB-MMAEMolecular structure of the compound: endo-BCN-PEG8-Val-Cit-PAB-MMAE1723.298%Pricing
    BP-43490SPDP-PEG4-MMAEMolecular structure of the compound: SPDP-PEG4-MMAE1162.695%Pricing
    BP-44641Mc-MMAEMolecular structure of the compound: Mc-MMAE911.2Pricing
    BP-42728Mal-PEG2-MMAEMolecular structure of the compound: Mal-PEG2-MMAE957.298%Pricing
    BP-42062Mal-PEG12-MMAEMolecular structure of the compound: Mal-PEG12-MMAE1397.895%Pricing
    BP-42902Mal-phenyl-PEG8-MMAEMolecular structure of the compound: Mal-phenyl-PEG8-MMAE1354.7Pricing
    BP-23969MC-Val-Cit-PAB-MMAEMolecular structure of the compound: MC-Val-Cit-PAB-MMAE1316.798%Pricing
    BP-44961Bi-Mc-VC-PAB-MMAEMolecular structure of the compound: Bi-Mc-VC-PAB-MMAE1413.7Pricing
    BP-40937Mal-PEG2-Val-Cit-PAB-MMAEMolecular structure of the compound: Mal-PEG2-Val-Cit-PAB-MMAE1362.798%Pricing
    BP-40614Mal-PEG4-Val-Cit-PAB-MMAEMolecular structure of the compound: Mal-PEG4-Val-Cit-PAB-MMAE1450.898%Pricing
    BP-24252Mal-PEG8-Val-Cit-PAB-MMAEMolecular structure of the compound: Mal-PEG8-Val-Cit-PAB-MMAE162798%Pricing
    BP-44709MAL-di-EG-Val-Cit-PAB-MMAEMolecular structure of the compound: MAL-di-EG-Val-Cit-PAB-MMAE1433.898%Pricing
    BP-44972DBM-C5-VC-PAB-MMAEMolecular structure of the compound: DBM-C5-VC-PAB-MMAE1474.5Pricing
    BP-414733,4-Dibromo-Mal-PEG4-Val-Cit-PAB-MMAEMolecular structure of the compound: 3,4-Dibromo-Mal-PEG4-Val-Cit-PAB-MMAE1608.6Pricing
    BP-437403,4-Dibromo-Mal-PEG8-Val-Cit-PAB-MMAEMolecular structure of the compound: 3,4-Dibromo-Mal-PEG8-Val-Cit-PAB-MMAE1784.897%Pricing
    BP-41658Bromide-Val-Cit-PAB-MMAEMolecular structure of the compound: Bromide-Val-Cit-PAB-MMAE1244.495%Pricing
    BP-44959Py-MAA-Val-Cit-PAB-MMAEMolecular structure of the compound: Py-MAA-Val-Cit-PAB-MMAE1446.8Pricing
    BP-44957SuO-Glu-Val-Cit-PAB-MMAEMolecular structure of the compound: SuO-Glu-Val-Cit-PAB-MMAE1334.6Pricing
    BP-44969MC-EVCit-PAB-MMAEMolecular structure of the compound: MC-EVCit-PAB-MMAE1445.8Pricing
    BP-44967PC5-VC-PAB-MMAEMolecular structure of the compound: PC5-VC-PAB-MMAE1403.6Pricing
    BP-42482TFP-PEG4-Val-Cit-PAB-MMAEMolecular structure of the compound: TFP-PEG4-Val-Cit-PAB-MMAE1547.898%Pricing
    BP-45385sulfone-VC-PAB-MMAEMolecular structure of the compound: sulfone-VC-PAB-MMAE1449.898%Pricing
    BP-45386Bis-sulfone-VC-PAB-MMAEMolecular structure of the compound: Bis-sulfone-VC-PAB-MMAE160698%Pricing
    BP-41134L-Glu(OAll)-Val-Cit-PAB-MMAEMolecular structure of the compound: L-Glu(OAll)-Val-Cit-PAB-MMAE1292.698%Pricing
    BP-41129Fmoc-L-Glu(OAll)-Val-Cit-PAB-MMAEMolecular structure of the compound: Fmoc-L-Glu(OAll)-Val-Cit-PAB-MMAE1514.998%Pricing
    BP-44960Ac-Lys-Val-Cit-PABC-MMAEMolecular structure of the compound: Ac-Lys-Val-Cit-PABC-MMAE1293.7Pricing
    BP-44954Val-Ala-PAB-MMAEMolecular structure of the compound: Val-Ala-PAB-MMAE1037.4Pricing
    BP-41034Mal-C5-Val-Ala-PAB-MMAEMolecular structure of the compound: Mal-C5-Val-Ala-PAB-MMAE1230.698%Pricing
    BP-41655Azide-PEG4-Val-Ala-PAB-MMAEMolecular structure of the compound: Azide-PEG4-Val-Ala-PAB-MMAE1310.798%Pricing
    BP-44979Fmoc-VAP-MMAEMolecular structure of the compound: Fmoc-VAP-MMAE1259.6Pricing
    BP-41123Mal-Gly-Gly-L-Phe-N-[(carboxymethoxy)methyl]Glycinamide-MMAEMolecular structure of the compound: Mal-Gly-Gly-L-Phe-N-[(carboxymethoxy)methyl]Glycinamide-MMAE1316.6Pricing
    BP-42790Azide-PEG4-Gly-Gly-L-Phe-N-[(carboxymethoxy)methyl]Glycinamide-MMAEMolecular structure of the compound: Azide-PEG4-Gly-Gly-L-Phe-N-[(carboxymethoxy)methyl]Glycinamide-MMAE1396.798%Pricing
    BP-44978Mc-Phe-Lys-PAB-MMAEMolecular structure of the compound: Mc-Phe-Lys-PAB-MMAE1364.7Pricing
    BP-42552Fmoc-Ala-Ala-Asn-PAB-MMAEMolecular structure of the compound: Fmoc-Ala-Ala-Asn-PAB-MMAE1345.795%Pricing
    BP-44966Mc-Alanyl-Alanyl-Asparagine-PAB-MMAEMolecular structure of the compound: Mc-Alanyl-Alanyl-Asparagine-PAB-MMAE1316.6Pricing
    BP-44971mp-dLAE-PABC-MMAEMolecular structure of the compound: mp-dLAE-PABC-MMAE1331.6Pricing
    BP-429103-benzoylacrylamide-N-PEG10-MMAEMolecular structure of the compound: 3-benzoylacrylamide-N-PEG10-MMAE1387.898%Pricing
    BP-43503Methyltetrazine-PEG4-Val-Cit-PAB-MMAEMolecular structure of the compound: Methyltetrazine-PEG4-Val-Cit-PAB-MMAE1541.998%Pricing
    BP-45144TCO-PEG4-VC-PAB-MMAEMolecular structure of the compound: TCO-PEG4-VC-PAB-MMAE1522.9Pricing
    BP-44970PSMA-Val-Cit-PAB-MMAEMolecular structure of the compound: PSMA-Val-Cit-PAB-MMAE2267.2Pricing
    BP-44976Cys-MC-VC-PAB-MMAEMolecular structure of the compound: Cys-MC-VC-PAB-MMAE1437.8Pricing
    BP-43079m-PEG-Val-Cit-PAB-MMAE, MW 2,000Molecular structure of the compound: m-PEG-Val-Cit-PAB-MMAE, MW 2,00098%Pricing
    BP-43175Beta-glucuronide-MMAEMolecular structure of the compound: Beta-glucuronide-MMAE1059.398%Pricing
    BP-44643MC-betaglucuronide-MMAE-1Molecular structure of the compound: MC-betaglucuronide-MMAE-11323.6Pricing
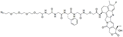
    BP-44127N-(Azido-PEG4)-N-(PEG4-Val-Cit-PAB-MMAE)-N-(PEG4-Val-Cit-PAB-Exatecan)Molecular structure of the compound: N-(Azido-PEG4)-N-(PEG4-Val-Cit-PAB-MMAE)-N-(PEG4-Val-Cit-PAB-Exatecan)2715.2Pricing
    BP-44312N-(Amino-PEG4)-N-(PEG4-Val-Cit-PAB-MMAE)-N-(PEG4-Val-Cit-PAB-Exatecan)Molecular structure of the compound: N-(Amino-PEG4)-N-(PEG4-Val-Cit-PAB-MMAE)-N-(PEG4-Val-Cit-PAB-Exatecan)2689.2Pricing
    BP-44315N-(Mal-PEG4)-N-(PEG4-Val-Cit-PAB-MMAE)-N-(PEG4-Val-Cit-PAB-Exatecan)Molecular structure of the compound: N-(Mal-PEG4)-N-(PEG4-Val-Cit-PAB-MMAE)-N-(PEG4-Val-Cit-PAB-Exatecan)2840.380%Pricing
    BP-44255N-(Mal)-N-(PEG8-Val-Cit-PAB-MMAE)-N-(PEG8-Val-Cit-PAB-Exatecan)Molecular structure of the compound: N-(Mal)-N-(PEG8-Val-Cit-PAB-MMAE)-N-(PEG8-Val-Cit-PAB-Exatecan)2945.5Pricing
    BP-44306N-(NHS-PEG4)-N-(PEG4-Val-Cit-PAB-MMAE)-N-(PEG4-Val-Cit-PAB-Exatecan)Molecular structure of the compound: N-(NHS-PEG4)-N-(PEG4-Val-Cit-PAB-MMAE)-N-(PEG4-Val-Cit-PAB-Exatecan)2815.3Pricing
    BP-44304N-(DBCO-PEG4)-N-(PEG4-Val-Cit-PAB-MMAE)-N-(PEG4-Val-Cit-PAB-Exatecan)Molecular structure of the compound: N-(DBCO-PEG4)-N-(PEG4-Val-Cit-PAB-MMAE)-N-(PEG4-Val-Cit-PAB-Exatecan)2976.5Pricing
    BP-44308N-(endo-BCN-PEG4)-N-(PEG4-Val-Cit-PAB-MMAE)-N-(PEG4-Val-Cit-PAB-Exatecan)Molecular structure of the compound: N-(endo-BCN-PEG4)-N-(PEG4-Val-Cit-PAB-MMAE)-N-(PEG4-Val-Cit-PAB-Exatecan)2865.4Pricing
    BP-44310N-(TCO-PEG4)-N-(PEG4-Val-Cit-PAB-MMAE)-N-(PEG4-Val-Cit-PAB-Exatecan)Molecular structure of the compound: N-(TCO-PEG4)-N-(PEG4-Val-Cit-PAB-MMAE)-N-(PEG4-Val-Cit-PAB-Exatecan)2841.4Pricing
    BP-44327N-(Azido-PEG4)-N-(PEG4-Val-Cit-PAB-MMAE)-N-(PEG4-Val-Cit-PAB-SN-38)Molecular structure of the compound: N-(Azido-PEG4)-N-(PEG4-Val-Cit-PAB-MMAE)-N-(PEG4-Val-Cit-PAB-SN-38)2672.2Pricing
    BP-44325N-(Amino-PEG4)-N-(PEG4-Val-Cit-PAB-MMAE)-N-(PEG4-Val-Cit-PAB-SN-38)Molecular structure of the compound: N-(Amino-PEG4)-N-(PEG4-Val-Cit-PAB-MMAE)-N-(PEG4-Val-Cit-PAB-SN-38)2646.2Pricing
    BP-44329N-(Mal-PEG4)-N-(PEG4-Val-Cit-PAB-MMAE)-N-(PEG4-Val-Cit-PAB-SN-38)Molecular structure of the compound: N-(Mal-PEG4)-N-(PEG4-Val-Cit-PAB-MMAE)-N-(PEG4-Val-Cit-PAB-SN-38)2726.2Pricing
    BP-44319N-(NHS-PEG4)-N-(PEG4-Val-Cit-PAB-MMAE)-N-(PEG4-Val-Cit-PAB-SN-38)Molecular structure of the compound: N-(NHS-PEG4)-N-(PEG4-Val-Cit-PAB-MMAE)-N-(PEG4-Val-Cit-PAB-SN-38)2772.2Pricing
    BP-44317N-(DBCO-PEG4)-N-(PEG4-Val-Cit-PAB-MMAE)-N-(PEG4-Val-Cit-PAB-SN-38)Molecular structure of the compound: N-(DBCO-PEG4)-N-(PEG4-Val-Cit-PAB-MMAE)-N-(PEG4-Val-Cit-PAB-SN-38)2933.5Pricing
    BP-44321N-(endo-BCN-PEG4)-N-(PEG4-Val-Cit-PAB-MMAE)-N-(PEG4-Val-Cit-PAB-SN-38)Molecular structure of the compound: N-(endo-BCN-PEG4)-N-(PEG4-Val-Cit-PAB-MMAE)-N-(PEG4-Val-Cit-PAB-SN-38)2822.4Pricing
    BP-44323N-(TCO-PEG4)-N-(PEG4-Val-Cit-PAB-MMAE)-N-(PEG4-Val-Cit-PAB-SN-38)Molecular structure of the compound: N-(TCO-PEG4)-N-(PEG4-Val-Cit-PAB-MMAE)-N-(PEG4-Val-Cit-PAB-SN-38)2798.4Pricing
    BP-44678N-(Azido-PEG4)-N-(PEG4-Val-Cit-PAB-MMAE)-N-(PEG4-GGFG-Dxd)Molecular structure of the compound: N-(Azido-PEG4)-N-(PEG4-Val-Cit-PAB-MMAE)-N-(PEG4-GGFG-Dxd)2715.295%Pricing
    BP-44631APL-1081Molecular structure of the compound: APL-10811502.8Pricing
    MMAF
    BP-22316MMAFMolecular structure of the compound: MMAF73295%Pricing
    BP-41970t-Boc-N-MMAFMolecular structure of the compound: t-Boc-N-MMAF832.198%Pricing
    BP-23981MC-MMAFMolecular structure of the compound: MC-MMAF925.298%Pricing
    BP-45163NHS-MMAFMolecular structure of the compound: NHS-MMAF943.2Pricing
    BP-24247MMAF-methyl esterMolecular structure of the compound: MMAF-methyl ester74698%Pricing
    BP-29542Val-Cit-PAB-MMAFMolecular structure of the compound: Val-Cit-PAB-MMAF1137.4Pricing
    BP-41815Fmoc-Val-Cit-PAB-MMAFMolecular structure of the compound: Fmoc-Val-Cit-PAB-MMAF1359.798%Pricing
    BP-44599Mal-PEG4-MMAFMolecular structure of the compound: Mal-PEG4-MMAF1059.398%Pricing
    BP-27843MC-Val-Cit-PAB-MMAFMolecular structure of the compound: MC-Val-Cit-PAB-MMAF1330.6Pricing
    BP-41951Mal-PEG4-Val-Cit-PAB-MMAFMolecular structure of the compound: Mal-PEG4-Val-Cit-PAB-MMAF1464.895%Pricing
    BP-43500Mal-PEG8-Val-Cit-PAB-MMAFMolecular structure of the compound: Mal-PEG8-Val-Cit-PAB-MMAF164195%Pricing
    BP-26144MMAF-PEG4-amine TFA saltMolecular structure of the compound: MMAF-PEG4-amine TFA salt1093.390%Pricing
    BP-44529Acid-PEG4-MMAFMolecular structure of the compound: Acid-PEG4-MMAF1008.3Pricing
    BP-41621NHS ester-PEG4-MMAFMolecular structure of the compound: NHS ester-PEG4-MMAF1105.395%Pricing
    BP-42569NHS ester-PEG4-Val-Cit-PAB-MMAFMolecular structure of the compound: NHS ester-PEG4-Val-Cit-PAB-MMAF1510.890%Pricing
    BP-43527NHS ester-PEG8-Val-Cit-PAB-MMAFMolecular structure of the compound: NHS ester-PEG8-Val-Cit-PAB-MMAF168790%Pricing
    BP-27082Azide-PEG3-MMAFMolecular structure of the compound: Azide-PEG3-MMAF961.2Pricing
    BP-41448Aminooxy-PEG4-MMAFMolecular structure of the compound: Aminooxy-PEG4-MMAF923.2Pricing
    BP-45321N3-PEG3-VC-PAB-MMAFMolecular structure of the compound: N3-PEG3-VC-PAB-MMAF1352.6Pricing
    BP-27083Azide-PEG3-Val-Cit-PAB-MMAFMolecular structure of the compound: Azide-PEG3-Val-Cit-PAB-MMAF1366.7Pricing
    BP-41955Azide-PEG8-Val-Cit-PAB-MMAFMolecular structure of the compound: Azide-PEG8-Val-Cit-PAB-MMAF1586.995%Pricing
    BP-29649endo-BCN-PEG4-Val-Cit-PAB-MMAFMolecular structure of the compound: endo-BCN-PEG4-Val-Cit-PAB-MMAF1560.990%Pricing
    BP-28200DBCO-PEG4-MMAFMolecular structure of the compound: DBCO-PEG4-MMAF1266.695%Pricing
    BP-41019DBCO-PEG8-MMAFMolecular structure of the compound: DBCO-PEG8-MMAF1442.895%Pricing
    BP-44083DBCO-PEG4-Val-Cit-PAB-MMAFMolecular structure of the compound: DBCO-PEG4-Val-Cit-PAB-MMAF1672.195%Pricing
    BP-41972Biotin-PEG11-NHCO-MMAFMolecular structure of the compound: Biotin-PEG11-NHCO-MMAF148598%Pricing
    BP-41971Biotin-PEG11-NHCO-MMAF-N-t-BocMolecular structure of the compound: Biotin-PEG11-NHCO-MMAF-N-t-Boc1585.198%Pricing
    BP-44527N-(Azido-PEG4)-N-bis-(PEG4-Val-Cit-PAB-MMAF)Molecular structure of the compound: N-(Azido-PEG4)-N-bis-(PEG4-Val-Cit-PAB-MMAF)3025.795%Pricing
    MMAD
    BP-45178Vc-MMADMolecular structure of the compound: Vc-MMAD1369.7Pricing
    Duostatin 5
    BP-45310Duostatin 5Molecular structure of the compound: Duostatin 5772.1Pricing
    Dolastatin 10
    BP-23644Monomethyl Dolastatin 10Molecular structure of the compound: Monomethyl Dolastatin 10771.198%Pricing
    BP-29360Dolastatin 10Molecular structure of the compound: Dolastatin 10785.1Pricing
    BP-45143MC-VC-PABC-Aur0101Molecular structure of the compound: MC-VC-PABC-Aur01011341.7Pricing
    Auristatin
    BP-29361Soblidotin (Auristatin PE)Molecular structure of the compound: Soblidotin (Auristatin PE)702Pricing
    BP-23645Auristatin EMolecular structure of the compound: Auristatin E73295%Pricing
    BP-44956MC-Val-Cit-PAB-Auristatin EMolecular structure of the compound: MC-Val-Cit-PAB-Auristatin E1287.7Pricing
    BP-27999Auristatin FMolecular structure of the compound: Auristatin F746Pricing
    BP-45180BAY 1135626Molecular structure of the compound: BAY 11356261063.4Pricing
    Tubulysin A
    BP-41463Tubulysin AMolecular structure of the compound: Tubulysin A844.1Pricing
    Maytansinoid
    BP-23647MaytansinoidMolecular structure of the compound: Maytansinoid565.198%Pricing
    BP-23646Maytansinoid AP-3Molecular structure of the compound: Maytansinoid AP-3635.295%Pricing
    BP-28006N-Me-L-Ala-maytansinolMolecular structure of the compound: N-Me-L-Ala-maytansinol650.2Pricing
    DM1
    BP-23648DM1Molecular structure of the compound: DM1738.398%Pricing
    BP-42970DM1-SmeMolecular structure of the compound: DM1-Sme784.4Pricing
    BP-45179SPP-DM1Molecular structure of the compound: SPP-DM1967.6Pricing
    BP-45151MCC-DM1Molecular structure of the compound: MCC-DM1974.6Pricing
    BP-28008DM1-SMCCMolecular structure of the compound: DM1-SMCC1072.6Pricing
    BP-45170MC-DM1Molecular structure of the compound: MC-DM1843.4Pricing
    BP-44644Mal-VC-PAB-DM1Molecular structure of the compound: Mal-VC-PAB-DM11248.8Pricing
    BP-23844DM1-PEG3-biotinMolecular structure of the compound: DM1-PEG3-biotin1376.198%Pricing
    BP-29741DM1-PEG4-DBCOMolecular structure of the compound: DM1-PEG4-DBCO1272.998%Pricing
    BP-23990DM1-PEG4-BCNMolecular structure of the compound: DM1-PEG4-BCN1161.895%Pricing
    DM3
    BP-44120PDM-3Molecular structure of the compound: PDM-3621.1Pricing
    DM4
    BP-23649DM4Molecular structure of the compound: DM4780.498%Pricing
    BP-41487DM4-SPDB-acidMolecular structure of the compound: DM4-SPDB-acid898.5Pricing
    BP-40975SPDB-DM4Molecular structure of the compound: SPDB-DM4995.6Pricing
    BP-43605DM4-S-S-Sulfo acidMolecular structure of the compound: DM4-S-S-Sulfo acid978.697%Pricing
    BP-44105DM4-S-S-Sulfo-NHS esterMolecular structure of the compound: DM4-S-S-Sulfo-NHS ester1075.795%Pricing
    BP-45157DM4-SMCCMolecular structure of the compound: DM4-SMCC1114.7Pricing
    BP-41540Aminooxy-PEG2-SPDB-DM4Molecular structure of the compound: Aminooxy-PEG2-SPDB-DM41044.7Pricing
    DM21
    BP-45149DM21Molecular structure of the compound: DM211215.9Pricing
    Eribulin
    BP-29357EribulinMolecular structure of the compound: Eribulin729.995%Pricing
    BP-29356Eribulin MesylateMolecular structure of the compound: Eribulin Mesylate826Pricing
    BP-41451VCP-EribulinMolecular structure of the compound: VCP-Eribulin1135.4Pricing
    BP-41452Mal-(CH2)5-Val-Cit-PAB-EribulinMolecular structure of the compound: Mal-(CH2)5-Val-Cit-PAB-Eribulin1328.6Pricing
    BP-45141Mal-PEG2-VCP-EribulinMolecular structure of the compound: Mal-PEG2-VCP-Eribulin1374.6Pricing
    Ansamitocin
    BP-27998Ansamitocin P 3Molecular structure of the compound: Ansamitocin P 3635.2Pricing
    SN 38
    BP-24513SN-38Molecular structure of the compound: SN-38392.498%Pricing
    BP-40130Boc-O-SN-38Molecular structure of the compound: Boc-O-SN-38492.598%Pricing
    BP-44241PH-HG-005-5Molecular structure of the compound: PH-HG-005-5797.9Pricing
    BP-45153MAC glucuronide phenol-linked SN-38Molecular structure of the compound: MAC glucuronide phenol-linked SN-381091.1Pricing
    BP-45148MC-SN38Molecular structure of the compound: MC-SN38585.6Pricing
    BP-40210MC-Val-Cit-PAB-SN38Molecular structure of the compound: MC-Val-Cit-PAB-SN38991.198%Pricing
    BP-26342CL2A-SN38Molecular structure of the compound: CL2A-SN381480.6Pricing
    BP-43146CL2-SN-38Molecular structure of the compound: CL2-SN-381627.8Pricing
    BP-41714Azide-PEG4-Val-Cit-PAB-SN-38Molecular structure of the compound: Azide-PEG4-Val-Cit-PAB-SN-381071.298%Pricing
    BP-29793Azide-PEG8-Val-Cit-PABC-SN-38Molecular structure of the compound: Azide-PEG8-Val-Cit-PABC-SN-381334.595%Pricing
    BP-42005Azido-PEG4-Val-Ala-PAB-SN38Molecular structure of the compound: Azido-PEG4-Val-Ala-PAB-SN38985.198%Pricing
    BP-44240SN38-PAB-Lys(MMT)-oxydiacetamide-PEG8-N3Molecular structure of the compound: SN38-PAB-Lys(MMT)-oxydiacetamide-PEG8-N31478.7Pricing
    BP-44327N-(Azido-PEG4)-N-(PEG4-Val-Cit-PAB-MMAE)-N-(PEG4-Val-Cit-PAB-SN-38)Molecular structure of the compound: N-(Azido-PEG4)-N-(PEG4-Val-Cit-PAB-MMAE)-N-(PEG4-Val-Cit-PAB-SN-38)2672.2Pricing
    BP-44325N-(Amino-PEG4)-N-(PEG4-Val-Cit-PAB-MMAE)-N-(PEG4-Val-Cit-PAB-SN-38)Molecular structure of the compound: N-(Amino-PEG4)-N-(PEG4-Val-Cit-PAB-MMAE)-N-(PEG4-Val-Cit-PAB-SN-38)2646.2Pricing
    BP-44329N-(Mal-PEG4)-N-(PEG4-Val-Cit-PAB-MMAE)-N-(PEG4-Val-Cit-PAB-SN-38)Molecular structure of the compound: N-(Mal-PEG4)-N-(PEG4-Val-Cit-PAB-MMAE)-N-(PEG4-Val-Cit-PAB-SN-38)2726.2Pricing
    BP-44319N-(NHS-PEG4)-N-(PEG4-Val-Cit-PAB-MMAE)-N-(PEG4-Val-Cit-PAB-SN-38)Molecular structure of the compound: N-(NHS-PEG4)-N-(PEG4-Val-Cit-PAB-MMAE)-N-(PEG4-Val-Cit-PAB-SN-38)2772.2Pricing
    BP-44317N-(DBCO-PEG4)-N-(PEG4-Val-Cit-PAB-MMAE)-N-(PEG4-Val-Cit-PAB-SN-38)Molecular structure of the compound: N-(DBCO-PEG4)-N-(PEG4-Val-Cit-PAB-MMAE)-N-(PEG4-Val-Cit-PAB-SN-38)2933.5Pricing
    BP-44321N-(endo-BCN-PEG4)-N-(PEG4-Val-Cit-PAB-MMAE)-N-(PEG4-Val-Cit-PAB-SN-38)Molecular structure of the compound: N-(endo-BCN-PEG4)-N-(PEG4-Val-Cit-PAB-MMAE)-N-(PEG4-Val-Cit-PAB-SN-38)2822.4Pricing
    BP-44323N-(TCO-PEG4)-N-(PEG4-Val-Cit-PAB-MMAE)-N-(PEG4-Val-Cit-PAB-SN-38)Molecular structure of the compound: N-(TCO-PEG4)-N-(PEG4-Val-Cit-PAB-MMAE)-N-(PEG4-Val-Cit-PAB-SN-38)2798.4Pricing
    Exatecan
    BP-27996ExatecanMolecular structure of the compound: Exatecan435.5Pricing
    BP-27995Exatecan MesylateMolecular structure of the compound: Exatecan Mesylate435.5Pricing
    BP-42976(4-NH2)-ExatecanMolecular structure of the compound: (4-NH2)-Exatecan403.4Pricing
    BP-41118Val-Cit-PAB-ExatecanMolecular structure of the compound: Val-Cit-PAB-Exatecan840.9Pricing
    BP-41119MC-Val-Cit-PAB-ExatecanMolecular structure of the compound: MC-Val-Cit-PAB-Exatecan1034.198%Pricing
    BP-44596Mal-PEG12-Val-Cit-PAB-ExatecanMolecular structure of the compound: Mal-PEG12-Val-Cit-PAB-Exatecan1520.795%Pricing
    BP-44420acid-PEG8-Val-Cit-PAB-ExatecanMolecular structure of the compound: acid-PEG8-Val-Cit-PAB-Exatecan1293.495%Pricing
    BP-41120Azido-PEG2-Val-Cit-PAB-ExatecanMolecular structure of the compound: Azido-PEG2-Val-Cit-PAB-Exatecan1026.1Pricing
    BP-41668Azide-PEG4-Val-Cit-PAB-ExatecanMolecular structure of the compound: Azide-PEG4-Val-Cit-PAB-Exatecan1114.295%Pricing
    BP-41639Azide-PEG8-Val-Cit-PAB-ExatecanMolecular structure of the compound: Azide-PEG8-Val-Cit-PAB-Exatecan1377.595%Pricing
    BP-44421NHS ester-PEG8-Val-Cit-PAB-ExatecanMolecular structure of the compound: NHS ester-PEG8-Val-Cit-PAB-Exatecan1390.595%Pricing
    BP-44084Fmoc-Val-Cit-PAB-ExatecanMolecular structure of the compound: Fmoc-Val-Cit-PAB-Exatecan1063.298%Pricing
    BP-41121DBCO-PEG2-Val-Cit-PAB-ExatecanMolecular structure of the compound: DBCO-PEG2-Val-Cit-PAB-Exatecan1287.4Pricing
    BP-45002DBCO-PEG3-VC-ExatecanMolecular structure of the compound: DBCO-PEG3-VC-Exatecan1331.5Pricing
    BP-43172DBCO-PEG4-Val-Cit-PAB-ExatecanMolecular structure of the compound: DBCO-PEG4-Val-Cit-PAB-Exatecan1289.495%Pricing
    BP-42903DBCO-PEG8-Val-Cit-PAB-ExatecanMolecular structure of the compound: DBCO-PEG8-Val-Cit-PAB-Exatecan1551.795%Pricing
    BP-45372Cylclooctene-O-amido-PEG4-VC-PAB-Gly-Gly-NH-O-CO-ExatecanMolecular structure of the compound: Cylclooctene-O-amido-PEG4-VC-PAB-Gly-Gly-NH-O-CO-Exatecan1396.5Pricing
    BP-44671Val-Ala-PAB-ExatecanMolecular structure of the compound: Val-Ala-PAB-Exatecan754.898%Pricing
    BP-42740DBCO-Val-Ala-PAB-ExatecanMolecular structure of the compound: DBCO-Val-Ala-PAB-Exatecan1042.198%Pricing
    BP-43226DBCO-PEG12-Val-Ala-PAB-ExatecanMolecular structure of the compound: DBCO-PEG12-Val-Ala-PAB-Exatecan1641.998%Pricing
    BP-41997Azido-PEG4-Val-Ala-PAB-ExatecanMolecular structure of the compound: Azido-PEG4-Val-Ala-PAB-Exatecan1028.195%Pricing
    BP-44294Azido-PEG8-Val-Ala-PAB-ExatecanMolecular structure of the compound: Azido-PEG8-Val-Ala-PAB-Exatecan1204.3Pricing
    BP-45162Mal-Val-Ala-PAB-N(SO2Me)-ExatecanMolecular structure of the compound: Mal-Val-Ala-PAB-N(SO2Me)-Exatecan1141.2Pricing
    BP-44638MC-VA-PAB-ExatecanMolecular structure of the compound: MC-VA-PAB-Exatecan948Pricing
    BP-44634Mc-PEG4-Val-Ala-PAB-ExatecanMolecular structure of the compound: Mc-PEG4-Val-Ala-PAB-Exatecan1153.2Pricing
    BP-44642Mal-PEG8-Val-Ala-PAB-ExatecanMolecular structure of the compound: Mal-PEG8-Val-Ala-PAB-Exatecan1329.5Pricing
    BP-44640AZ14170133Molecular structure of the compound: AZ141701331148.3Pricing
    BP-45177DBCO-Beta-Glu-PEG12-ExatecanMolecular structure of the compound: DBCO-Beta-Glu-PEG12-Exatecan1834Pricing
    BP-44635Mal-Gly-PAB-Exatecan-D-glucuronic acidMolecular structure of the compound: Mal-Gly-PAB-Exatecan-D-glucuronic acid984.9Pricing
    BP-45171GGFG-PAB-ExatecanMolecular structure of the compound: GGFG-PAB-Exatecan902.9Pricing
    BP-45174GGFG-amide-glycol-amide-ExatecanMolecular structure of the compound: GGFG-amide-glycol-amide-Exatecan870.9Pricing
    BP-43350MC-GGFG-ExatecanMolecular structure of the compound: MC-GGFG-Exatecan947Pricing
    BP-45150Mal-PEG2-Gly-Gly-Phe-Gly-ExatecanMolecular structure of the compound: Mal-PEG2-Gly-Gly-Phe-Gly-Exatecan1149.2Pricing
    BP-45145MC-Gly-Gly-Phe-Gly-(R)-Cyclopropane-ExatecanMolecular structure of the compound: MC-Gly-Gly-Phe-Gly-(R)-Cyclopropane-Exatecan1074.1Pricing
    BP-451642-MSP-5-HA-GGFG-NH-CH2-O-CH2-CO-ExatecanMolecular structure of the compound: 2-MSP-5-HA-GGFG-NH-CH2-O-CH2-CO-Exatecan1091.2Pricing
    BP-45167CB07-ExatecanMolecular structure of the compound: CB07-Exatecan1458.6Pricing
    BP-45173Mal-PEG8-Phe-Lys-PAB-Exatecan, TFA saltMolecular structure of the compound: Mal-PEG8-Phe-Lys-PAB-Exatecan, TFA salt1434.6Pricing
    BP-44639PB038Molecular structure of the compound: PB0382090.3Pricing
    BP-44127N-(Azido-PEG4)-N-(PEG4-Val-Cit-PAB-MMAE)-N-(PEG4-Val-Cit-PAB-Exatecan)Molecular structure of the compound: N-(Azido-PEG4)-N-(PEG4-Val-Cit-PAB-MMAE)-N-(PEG4-Val-Cit-PAB-Exatecan)2715.2Pricing
    BP-44312N-(Amino-PEG4)-N-(PEG4-Val-Cit-PAB-MMAE)-N-(PEG4-Val-Cit-PAB-Exatecan)Molecular structure of the compound: N-(Amino-PEG4)-N-(PEG4-Val-Cit-PAB-MMAE)-N-(PEG4-Val-Cit-PAB-Exatecan)2689.2Pricing
    BP-44315N-(Mal-PEG4)-N-(PEG4-Val-Cit-PAB-MMAE)-N-(PEG4-Val-Cit-PAB-Exatecan)Molecular structure of the compound: N-(Mal-PEG4)-N-(PEG4-Val-Cit-PAB-MMAE)-N-(PEG4-Val-Cit-PAB-Exatecan)2840.380%Pricing
    BP-44255N-(Mal)-N-(PEG8-Val-Cit-PAB-MMAE)-N-(PEG8-Val-Cit-PAB-Exatecan)Molecular structure of the compound: N-(Mal)-N-(PEG8-Val-Cit-PAB-MMAE)-N-(PEG8-Val-Cit-PAB-Exatecan)2945.5Pricing
    BP-44306N-(NHS-PEG4)-N-(PEG4-Val-Cit-PAB-MMAE)-N-(PEG4-Val-Cit-PAB-Exatecan)Molecular structure of the compound: N-(NHS-PEG4)-N-(PEG4-Val-Cit-PAB-MMAE)-N-(PEG4-Val-Cit-PAB-Exatecan)2815.3Pricing
    BP-44304N-(DBCO-PEG4)-N-(PEG4-Val-Cit-PAB-MMAE)-N-(PEG4-Val-Cit-PAB-Exatecan)Molecular structure of the compound: N-(DBCO-PEG4)-N-(PEG4-Val-Cit-PAB-MMAE)-N-(PEG4-Val-Cit-PAB-Exatecan)2976.5Pricing
    BP-44308N-(endo-BCN-PEG4)-N-(PEG4-Val-Cit-PAB-MMAE)-N-(PEG4-Val-Cit-PAB-Exatecan)Molecular structure of the compound: N-(endo-BCN-PEG4)-N-(PEG4-Val-Cit-PAB-MMAE)-N-(PEG4-Val-Cit-PAB-Exatecan)2865.4Pricing
    BP-44310N-(TCO-PEG4)-N-(PEG4-Val-Cit-PAB-MMAE)-N-(PEG4-Val-Cit-PAB-Exatecan)Molecular structure of the compound: N-(TCO-PEG4)-N-(PEG4-Val-Cit-PAB-MMAE)-N-(PEG4-Val-Cit-PAB-Exatecan)2841.4Pricing
    Exatecan Intermediate
    BP-41446(S)-4-ethyl-4-hydroxy-7,8-dihydro-1H-pyrano[3,4-f]indolizine-3,6,10(4H)-trioneMolecular structure of the compound: (S)-4-ethyl-4-hydroxy-7,8-dihydro-1H-pyrano[3,4-f]indolizine-3,6,10(4H)-trione263.3Pricing
    BP-41447N-(8-amino-6-fluoro-5-methyl-1-oxo-1,2,3,4-tetrahydronaphthalen-2-yl)acetamideMolecular structure of the compound: N-(8-amino-6-fluoro-5-methyl-1-oxo-1,2,3,4-tetrahydronaphthalen-2-yl)acetamide250.3Pricing
    DXD
    BP-29364Gly-DxdMolecular structure of the compound: Gly-Dxd579.6Pricing
    BP-29366GGFG-Dxd, HCOOH saltMolecular structure of the compound: GGFG-Dxd, HCOOH salt840.9Pricing
    BP-29363Fmoc-Gly-DxdMolecular structure of the compound: Fmoc-Gly-Dxd801.8Pricing
    BP-29365Fmoc-GGFG-DxdMolecular structure of the compound: Fmoc-GGFG-Dxd1063.1Pricing
    BP-29531DeruxtecanMolecular structure of the compound: Deruxtecan1034.1Pricing
    BP-44646Gly-Mal-GGFG-Deruxtecan 2-hydroxypropanamideMolecular structure of the compound: Gly-Mal-GGFG-Deruxtecan 2-hydroxypropanamide1079.1Pricing
    BP-45139Azido-PEG4-GGFG-DxdMolecular structure of the compound: Azido-PEG4-GGFG-Dxd1114.2Pricing
    BP-43482Mal-PEG8-GGFG-DXDMolecular structure of the compound: Mal-PEG8-GGFG-DXD1344.498%Pricing
    BP-41631NHS-PEG1-GGFG-DXDMolecular structure of the compound: NHS-PEG1-GGFG-DXD1082.1Pricing
    BP-43502NHS-PEG4-GGFG-DXDMolecular structure of the compound: NHS-PEG4-GGFG-DXD1214.295%Pricing
    BP-43753NHS ester-PEG8-GGFG-DXDMolecular structure of the compound: NHS ester-PEG8-GGFG-DXD1390.590%Pricing
    BP-41614Acid-GGFG-DxdMolecular structure of the compound: Acid-GGFG-Dxd985Pricing
    BP-43526Acid-PEG4-GGFG-DXDMolecular structure of the compound: Acid-PEG4-GGFG-DXD1117.295%Pricing
    BP-43752Acid-PEG8-GGFG-DXDMolecular structure of the compound: Acid-PEG8-GGFG-DXD1293.495%Pricing
    BP-42608Azide-PEG4-GGFG-DxdMolecular structure of the compound: Azide-PEG4-GGFG-Dxd1114.298%Pricing
    BP-45169Amino-PEG4-GGFG-DxdMolecular structure of the compound: Amino-PEG4-GGFG-Dxd1088.2Pricing
    BP-43352Alkyne-PEG4-GGFG-DxdMolecular structure of the compound: Alkyne-PEG4-GGFG-Dxd1083.197%Pricing
    BP-44999DIBAC-GGFG-NH2CH2-DxdMolecular structure of the compound: DIBAC-GGFG-NH2CH2-Dxd1128.2Pricing
    BP-42921DBCO-PEG4-GGFG-DxdMolecular structure of the compound: DBCO-PEG4-GGFG-Dxd1375.595%Pricing
    BP-43797DBCO-PEG8-GGFG-DXDMolecular structure of the compound: DBCO-PEG8-GGFG-DXD1551.795%Pricing
    BP-41976endo-BCN-PEG2-GGFG-DxdMolecular structure of the compound: endo-BCN-PEG2-GGFG-Dxd1176.398%Pricing
    BP-44253N-(acid-PEG8)-N-bis(PEG8-GGFG-Dxd)Molecular structure of the compound: N-(acid-PEG8)-N-bis(PEG8-GGFG-Dxd)2964.2Pricing
    BP-44254N-(NHS-PEG8)-N-bis(PEG8-GGFG-Dxd)Molecular structure of the compound: N-(NHS-PEG8)-N-bis(PEG8-GGFG-Dxd)3061.3Pricing
    BP-44678N-(Azido-PEG4)-N-(PEG4-Val-Cit-PAB-MMAE)-N-(PEG4-GGFG-Dxd)Molecular structure of the compound: N-(Azido-PEG4)-N-(PEG4-Val-Cit-PAB-MMAE)-N-(PEG4-GGFG-Dxd)2715.295%Pricing
    Trabectedin
    BP-41453TrabectedinMolecular structure of the compound: Trabectedin761.9Pricing
    Lurbinectedin
    BP-41454LurbinectedinMolecular structure of the compound: Lurbinectedin784.9Pricing
    Alpha-Amanitin
    BP-41455alpha-AmanitinMolecular structure of the compound: alpha-Amanitin919Pricing
    Cyclosporin A
    BP-28432Cyclosporin AMolecular structure of the compound: Cyclosporin A1202.6Pricing
    Cabazitaxel
    BP-23954CabazitaxelMolecular structure of the compound: Cabazitaxel83695%Pricing
    BP-23985DeBoc-CabazitaxelMolecular structure of the compound: DeBoc-Cabazitaxel735.890%Pricing
    Paclitaxel
    BP-23960PaclitaxelMolecular structure of the compound: Paclitaxel853.998%Pricing
    BP-239862'-O-TBDMS-PaclitaxelMolecular structure of the compound: 2-O-TBDMS-Paclitaxel968.298%Pricing
    BP-416512'-O-TBDMS-7-O-(Azido-PEG4)-PaclitaxelMolecular structure of the compound: 2-O-TBDMS-7-O-(Azido-PEG4)-Paclitaxel1241.598%Pricing
    BP-239957-O-(Amino-PEG4)- paclitaxelMolecular structure of the compound: 7-O-(Amino-PEG4)- paclitaxel1101.295%Pricing
    BP-411177-O-(Azido-PEG4)-paclitaxelMolecular structure of the compound: 7-O-(Azido-PEG4)-paclitaxel1127.2Pricing
    BP-239877-O-(Cbz-N-amido-PEG4)- paclitaxelMolecular structure of the compound: 7-O-(Cbz-N-amido-PEG4)- paclitaxel1235.498%Pricing
    Calicheamicin
    BP-42978CalicheamicinMolecular structure of the compound: Calicheamicin1368.4Pricing
    BP-28001N-Acetyl-CalicheamicinMolecular structure of the compound: N-Acetyl-Calicheamicin1410.4Pricing
    Vinblastine
    BP-43221VinblastineMolecular structure of the compound: Vinblastine811Pricing
    BP-44608Vinblastine sulfateMolecular structure of the compound: Vinblastine sulfate81198%Pricing
    BP-43222MC-Val-Cit-PAB-vinblastineMolecular structure of the compound: MC-Val-Cit-PAB-vinblastine1366.7Pricing
    Doxorubicin
    BP-44119DoxorubicinMolecular structure of the compound: Doxorubicin543.5Pricing
    BP-23114Doxorubicin HClMolecular structure of the compound: Doxorubicin HCl543.597%Pricing
    BP-43652Epirubicin hydrochlorideMolecular structure of the compound: Epirubicin hydrochloride543.5Pricing
    BP-45223Doxorubicin-PEG1-azideMolecular structure of the compound: Doxorubicin-PEG1-azide684.795%Pricing
    BP-24256N-(Iodoacetamido)-DoxorubicinMolecular structure of the compound: N-(Iodoacetamido)-Doxorubicin711.5Pricing
    BP-24433N-(4-((2,5-dioxo-2H-pyrrol-1(5H)-yl)methyl)cyclohexane)-DoxorubicinMolecular structure of the compound: N-(4-((2,5-dioxo-2H-pyrrol-1(5H)-yl)methyl)cyclohexane)-Doxorubicin762.898%Pricing
    BP-24434MC-Val-Cit-DoxorubicinMolecular structure of the compound: MC-Val-Cit-Doxorubicin1142.295%Pricing
    BP-44296Mal-PEG8-Val-Cit-DoxorubicinMolecular structure of the compound: Mal-PEG8-Val-Cit-Doxorubicin1452.598%Pricing
    BP-45152Azide-PEG4-VC-PAB-DoxorubicinMolecular structure of the compound: Azide-PEG4-VC-PAB-Doxorubicin1222.3Pricing
    BP-44629Azide-PEG4-Val-Cit-DoxorubicinMolecular structure of the compound: Azide-PEG4-Val-Cit-Doxorubicin1309.495%Pricing
    BP-29761Azide-PEG8-Val-Cit-DoxorubicinMolecular structure of the compound: Azide-PEG8-Val-Cit-Doxorubicin1485.6Pricing
    BP-41569Cholesterol-DoxorubicinMolecular structure of the compound: Cholesterol-Doxorubicin956.2Pricing
    BP-45073Dox-btn2Molecular structure of the compound: Dox-btn21017.1Pricing
    Daunorubicin
    BP-42977Daunorubicin HClMolecular structure of the compound: Daunorubicin HCl564Pricing
    Aldoxorubicine
    BP-43220AldoxorubicineMolecular structure of the compound: Aldoxorubicine750.8Pricing
    Nemorubicin
    BP-43667NemorubicinMolecular structure of the compound: Nemorubicin643.7Pricing
    BP-29359PNU159682Molecular structure of the compound: PNU159682641.6Pricing
    BP-45168Mal-C2-Gly3-EDA-PNU-159682Molecular structure of the compound: Mal-C2-Gly3-EDA-PNU-159682992Pricing
    BP-45142Mal-PEG4-VC-PAB-DMEA-PNU-159682Molecular structure of the compound: Mal-PEG4-VC-PAB-DMEA-PNU-1596821559.7Pricing
    Cucurbitacin
    BP-28427Cucurbitacin BMolecular structure of the compound: Cucurbitacin B572.7Pricing
    BP-28428Cucurbitacin EMolecular structure of the compound: Cucurbitacin E570.7Pricing
    PBD Dimers
    BP-43616SJG-136Molecular structure of the compound: SJG-136556.6Pricing
    BP-43614SGD-1882Molecular structure of the compound: SGD-1882725.8Pricing
    BP-43613SGD-1910Molecular structure of the compound: SGD-19101089.2Pricing
    BP-41465SG 3199Molecular structure of the compound: SG 3199584.7Pricing
    BP-44242SG3199-Val-Ala-PABMolecular structure of the compound: SG3199-Val-Ala-PAB922.1Pricing
    BP-44243TesirineMolecular structure of the compound: Tesirine1496.7Pricing
    BP-44998DBCO-PEG4-VA-PBDMolecular structure of the compound: DBCO-PEG4-VA-PBD1430.6Pricing
    FR901464
    BP-28003FR901464Molecular structure of the compound: FR901464507.6Pricing
    Thailanstatin A
    BP-44117Thailanstatin AMolecular structure of the compound: Thailanstatin A535.6Pricing
    Camptothecin
    BP-2842410-HydroxycamptothecinMolecular structure of the compound: 10-Hydroxycamptothecin368.4Pricing
    BP-4297110-MethoxycamptothecinMolecular structure of the compound: 10-Methoxycamptothecin378.4Pricing
    BP-429729-AminocamptothecinMolecular structure of the compound: 9-Aminocamptothecin363.4Pricing
    BP-42973DRF-1042Molecular structure of the compound: DRF-1042408.4Pricing
    BP-42979T01-1Molecular structure of the compound: T01-1510.6Pricing
    BP-45140MC-GGFG-AM-(10Me-11F-Camptothecin)Molecular structure of the compound: MC-GGFG-AM-(10Me-11F-Camptothecin)1038.1Pricing
    BP-45176MC-AAA-NHCH2OCH2COO-7-aminomethyl-10-methyl-11-fluoro camptothecinMolecular structure of the compound: MC-AAA-NHCH2OCH2COO-7-aminomethyl-10-methyl-11-fluoro camptothecin902.9Pricing
    Chimmitecan
    BP-41441ChimmitecanMolecular structure of the compound: Chimmitecan404.4Pricing
    Rubitecan
    BP-41442RubitecanMolecular structure of the compound: Rubitecan393.4Pricing
    Belotecan HCl salt
    BP-29352Belotecan HCl saltMolecular structure of the compound: Belotecan HCl salt433.5Pricing
    Gimatecan
    BP-29354GimatecanMolecular structure of the compound: Gimatecan447.5Pricing
    Topotecan
    BP-29353TopotecanMolecular structure of the compound: Topotecan421.5Pricing
    BP-28430Topotecan HydrochlorideMolecular structure of the compound: Topotecan Hydrochloride425.5Pricing
    TL033
    BP-44633TL033Molecular structure of the compound: TL0331630.9Pricing
    BP-44632TL033, TFA saltMolecular structure of the compound: TL033, TFA salt1630.9Pricing
    Namitecan
    BP-41444NamitecanMolecular structure of the compound: Namitecan434.5Pricing
    Karenitecin
    BP-41443KarenitecinMolecular structure of the compound: Karenitecin448.6Pricing
    Lurtotecan
    BP-41445LurtotecanMolecular structure of the compound: Lurtotecan518.6Pricing
    Irinotecan
    BP-28429Irinotecan HClMolecular structure of the compound: Irinotecan HCl590.7Pricing
    BP-42974IrinotecanMolecular structure of the compound: Irinotecan586.7Pricing
    ABBV-969
    BP-44637Br-Val-Ala-NH2-bicyclo[1.1.1]pentane-7-MAD-MDCPTMolecular structure of the compound: Br-Val-Ala-NH2-bicyclo[1.1.1]pentane-7-MAD-MDCPT764.6Pricing
    Duocarmycin
    BP-41456Duocarmycin TMMolecular structure of the compound: Duocarmycin TM466.9Pricing
    BP-43665Duocarmycin SAMolecular structure of the compound: Duocarmycin SA477.5Pricing
    BP-43666Duocarmycin DMMolecular structure of the compound: Duocarmycin DM464Pricing
    BP-41458Seco-Duocarmycin SAMolecular structure of the compound: Seco-Duocarmycin SA513.9Pricing
    BP-41457Duocarmycin MAMolecular structure of the compound: Duocarmycin MA611.1Pricing
    BP-41461Duocarmycin AnalogMolecular structure of the compound: Duocarmycin Analog611.1Pricing
    BP-45147MC-Val-Cit-PAB-duocarmycin chlorideMolecular structure of the compound: MC-Val-Cit-PAB-duocarmycin chloride1055.1Pricing
    BP-45160MA-PEG4-VC-PAB-DMEA-duocarmycin DMMolecular structure of the compound: MA-PEG4-VC-PAB-DMEA-duocarmycin DM1382Pricing
    Seco-Duba
    BP-41459Seco-DubaMolecular structure of the compound: Seco-Duba527Pricing
    BP-44647Vc-seco-DUBAMolecular structure of the compound: Vc-seco-DUBA1331.8Pricing
    Streptonigrin
    BP-44121StreptonigrinMolecular structure of the compound: Streptonigrin506.5Pricing
    Tucatinib
    BP-40974TucatinibMolecular structure of the compound: Tucatinib480.5Pricing
    FL118
    BP-42849FL118Molecular structure of the compound: FL118392.4Pricing
    BP-44435DL-01, Formic saltMolecular structure of the compound: DL-01, Formic salt1098.3Pricing
    BP-45158Mal-Bal-Ph(ß-D-Glucose)-7-MAD-MDCPTMolecular structure of the compound: Mal-Bal-Ph(ß-D-Glucose)-7-MAD-MDCPT984.9Pricing
    Colchicine
    BP-44293Gly-ColchicineMolecular structure of the compound: Gly-Colchicine415.495%Pricing
    BP-44291Fmoc-Gly-ColchicineMolecular structure of the compound: Fmoc-Gly-Colchicine666.795%Pricing
    BP-44429Mal-Val-Cit-PAB-ColchicineMolecular structure of the compound: Mal-Val-Cit-PAB-Colchicine956.198%Pricing
    BP-44595acid-PEG1-ColchicineMolecular structure of the compound: acid-PEG1-Colchicine473.598%Pricing
    Hemiasterlin
    BP-40982Hemiasterlin (SC209)Molecular structure of the compound: Hemiasterlin (SC209)488.7Pricing
    BP-45000SC239Molecular structure of the compound: SC2391181.5Pricing
    Deferoxamine
    BP-45001Deferoxamine-DBCOMolecular structure of the compound: Deferoxamine-DBCO848Pricing
    Panobinostat
    BP-25654PanobinostatMolecular structure of the compound: Panobinostat351.598%Pricing
    Abarelix Acetate
    BP-28425Abarelix AcetateMolecular structure of the compound: Abarelix Acetate1416.1Pricing
    Gepotidacin
    BP-44436GepotidacinMolecular structure of the compound: Gepotidacin448.5Pricing
    ß-Lapachone
    BP-28431ß-LapachoneMolecular structure of the compound: ß-Lapachone242.3Pricing
    N-Boc-dolaproine
    BP-41449N-Boc-dolaproineMolecular structure of the compound: N-Boc-dolaproine287.4Pricing
    Boc-Dap-NE
    BP-41450Boc-Dap-NEMolecular structure of the compound: Boc-Dap-NE420.6Pricing
    Taltobulin
    BP-41462TaltobulinMolecular structure of the compound: Taltobulin473.7Pricing
    S7
    BP-43618S7Molecular structure of the compound: S7815Pricing
    PSMA
    BP-45175PSMA-ALB-56Molecular structure of the compound: PSMA-ALB-561330.6Pricing
    TAM558
    BP-45166TAM558Molecular structure of the compound: TAM5581604Pricing
    Dov-Val-Dil-OH
    BP-28002Dov-Val-Dil-OH, TFA saltMolecular structure of the compound: Dov-Val-Dil-OH, TFA salt429.6Pricing
    Gambogic acid
    BP-22199Gambogic acidMolecular structure of the compound: Gambogic acid628.898%Pricing
    Amrubicin
    W-60403AmrubicinMolecular structure of the compound: Amrubicin483.590%Pricing
    Glucocorticoid receptor agonist
    BP-45159Glucocorticoid receptor agonist-1 Ala-Ala-MalMolecular structure of the compound: Glucocorticoid receptor agonist-1 Ala-Ala-Mal863Pricing
    BP-45161Glucocorticoid receptor agonist-2 Ala-Ala-MalMolecular structure of the compound: Glucocorticoid receptor agonist-2 Ala-Ala-Mal900.9Pricing
    BP-45154Glucocorticoid receptor agonist-1 phosphate(2,6-difluoro) Ala-Ala-BrMolecular structure of the compound: Glucocorticoid receptor agonist-1 phosphate(2,6-difluoro) Ala-Ala-Br948.8Pricing
    Disulfide payloads
    BP-441224-Methyl-4-(methyldisulfanyl)pentanoic acidMolecular structure of the compound: 4-Methyl-4-(methyldisulfanyl)pentanoic acid194.3Pricing
    BP-44118N-methyl-N-[(3-methyldithio)-1 -oxopropyl]-L-alanineMolecular structure of the compound: N-methyl-N-[(3-methyldithio)-1 -oxopropyl]-L-alanine237.3Pricing